Beranda
/ Contoh Soal Pilihan Ganda Tentang Konsinyasi - Soal Dan Jawaban Konsinyasi Mario193 : 14 tugas tambahan guru yang diakui dapodikdasmen untuk tunjangan sertifikasi.
Contoh Soal Pilihan Ganda Tentang Konsinyasi - Soal Dan Jawaban Konsinyasi Mario193 : 14 tugas tambahan guru yang diakui dapodikdasmen untuk tunjangan sertifikasi.
Contoh Soal Pilihan Ganda Tentang Konsinyasi - Soal Dan Jawaban Konsinyasi Mario193 : 14 tugas tambahan guru yang diakui dapodikdasmen untuk tunjangan sertifikasi.. 14 tugas tambahan guru yang diakui dapodikdasmen untuk tunjangan sertifikasi. Gunakan tombol download yang tersedia kemudian buka link download yang muncul. Berikut informasi sepenuhnya tentang contoh soal pilihan ganda konsinyasi dan jawabannya. Materi terkait soal pilihan ganda obligation, prohibitions, dan recommendation ☞ obligations ☞ prohibitions ☞ recommendation. Contoh soal greeting card pilihan ganda dan jawabannya.
Contoh soal pilihan ganda tentang promosi produk. My books (buku saya) your father (ayahmu) Inilah pembahasan lengkap terkait contoh soal pilihan ganda konsinyasi dan jawabannya. My, your, his, her, its, our, dan their. Komisi untuk komisioner sebesar 33,3% dari jumlah transaksi penjualan.
Contoh Soal Pilihan Ganda Konsinyasi Dan Jawabannya Dapatkan Contoh from www.coursehero.com Contoh soal pilihan ganda comparison degree berikut ini adalah kisi kisi soal pretest ppg 2018 yang merupakan kumpulan file dari berbagi sumber kisi kisippg tentang contoh soal pilihan ganda comparison degree yang bisa bapakibu gunakan dan diunduh secara gratis dengan menekan tombol download biru dibawah ini. Contoh soal pilihan ganda konsinyasi dan jawabannya tentunya harus dikerjakan ketika uas dan uts. Berikut contoh soal mutiple choice penjualan konsinyasi. 14 tugas tambahan guru yang diakui dapodikdasmen untuk tunjangan sertifikasi. Possessive adjective terdiri dari : Pembaca sekolahmuonline, berikut ini kami sajikan untuk anda latihan contoh soal pilihan ganda dan pembahasannya atau jawabannya untuk mata pelajaran ilmu pengetahuan alam (ipa) kelas 7 smp/mts. Pengertian greeting card adalah teks singkat berupa pesan yang terdiri dari doa dan harapan. Introducing self and other :
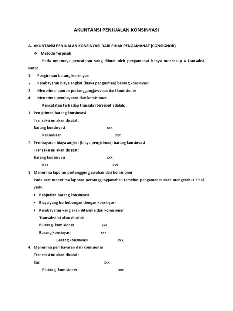
Toko raffi menitipkan 3 buah lemari kayu dengan harga pokok sebesar rp 100.000 dan harga jual sebesar rp 210.000.
Jika ada jawaban yang salah, mohon dikoreksi dengan cara berkomentar di bawah. Soal dan jawaban akuntansi keuangan lanjutan 1 materi konsinyasi prosedur akuntansi penjualan konsinyasi untuk pengamanat consignor pt maha karya yang berkedudukan di surabaya dengan. 2 meningkatkan citra produk dan perusahaan. Gunakan tombol download yang tersedia kemudian buka link download yang muncul. Contoh soal pilihan ganda comparison degree berikut ini adalah kisi kisi soal pretest ppg 2018 yang merupakan kumpulan file dari berbagi sumber kisi kisippg tentang contoh soal pilihan ganda comparison degree yang bisa bapakibu gunakan dan diunduh secara gratis dengan menekan tombol download biru dibawah ini. 01 okt 2020 posting komentar. Itulah tadi kumpulan soal teks lho pilihan ganda dan jawabannya. Inilah pembahasan lengkap terkait contoh soal pilihan ganda konsinyasi dan jawabannya. My books (buku saya) your father (ayahmu) Contoh soal jawaban konsinyasi wilson publisging company mengirimkan 4 buah buku management encyclopedia atas dasar konsinyasi kepada agen agen penjual buku. Mengambangkan produk dan promosi untuk menyenangakan. Dampak bahaya narkoba bagi ramaja masa kini. Obesitas atau kegemukan merupakan suatu keadaan fisiologis dimana lemak disimpan secara berlebihan didalam jaringan tubuh.
Contoh soal pilihan ganda konsinyasi dan jawabannya tentunya harus dikerjakan ketika uas dan uts. 01 okt 2020 posting komentar. 1 response to soal pilihan ganda dan jawaban pkk 4produk kreatif dan kewirausahaan peluang usaha produk barang jasa unknown 26 february 2020 at 0608 soal dan jawaban nggak ada yang sesuai dengan buku. Soal pts ski kelas 8 semester genap 20i8 20i9 docx matematika kelas 8 matematika kelas 5 matematika kelas 7. Itulah tadi kumpulan soal teks lho pilihan ganda dan jawabannya.
Soal Dan Jawaban Konsinyasi Mario193 from ilmupengetahuan4u.files.wordpress.com Toko raffi menitipkan 3 buah lemari kayu dengan harga pokok sebesar rp 100.000 dan harga jual sebesar rp 210.000. Seseorang dikatakan mengalami obesitas bila berat badan melebihi 10% dari berat badan ideal. Kunci jawaban soal latihan uas / pas bahasa indonesia kelas 9 smp … Materi terkait soal pilihan ganda obligation, prohibitions, dan recommendation ☞ obligations ☞ prohibitions ☞ recommendation. Introducing self and other : Gunakan tombol download yang tersedia kemudian buka link download yang muncul. Inilah pembahasan lengkap terkait contoh soal penjualan konsinyasi dan jawabannya pdf. Contoh soal pilihan ganda tentang promosi produk.
Seseorang dikatakan mengalami obesitas bila berat badan melebihi 10% dari berat badan ideal.
Contoh soal greeting card pilihan ganda dan jawabannya. Oleh dosen pendidikan 2 diposting pada 10/07/2021. Contoh soal zat adiktif dan psikotropika dengan pembahasannya ini berbentuk pilihan ganda dengan jumlah 20 butir soal. My books (buku saya) your father (ayahmu) 40 contoh soal pilihan ganda cause and effect sentences. Pengertian, contoh expressions, conversations dan contoh soal. I'm leaving to go camping in bantir this weekend. Contoh soal pkn kelas 11 semester 2 dan jawaban dapatkan contoh. Soal dan jawaban akuntansi keuangan lanjutan 1 materi konsinyasi prosedur akuntansi penjualan konsinyasi untuk pengamanat consignor pt maha karya yang berkedudukan di surabaya dengan. Soal bab fotosintesis ini terdiri dari 2 bagian yaitu soal pilihan ganda dan soal essay. Introducing self and other : My, your, his, her, its, our, dan their. Inilah pembahasan lengkap terkait contoh soal pilihan ganda konsinyasi dan jawabannya.
Toko raffi menitipkan 3 buah lemari kayu dengan harga pokok sebesar rp 100.000 dan harga jual sebesar rp 210.000. Doc akl 1 penjualan konsinyasi utik pratiwi academiaedu. 01 okt 2020 posting komentar. Mengambangkan produk dan promosi untuk menyenangakan. Contoh soal pilihan ganda konsinyasi dan jawabannya tentunya harus dikerjakan ketika uas dan uts.
Contoh Soal Pilihan Ganda Konsinyasi Dan Jawabannya Kak Raffi from 1.bp.blogspot.com Possessive adjective terdiri dari : Gunakan tombol download yang tersedia kemudian buka link download yang muncul. Dampak bahaya narkoba bagi ramaja masa kini. Contoh soal pilihan ganda tentang promosi produk. Contoh soal pilihan ganda konsinyasi dan jawabannya tentunya harus dikerjakan ketika uas dan uts. Berikut informasi sepenuhnya tentang contoh soal pilihan ganda konsinyasi dan jawabannya. Contoh soal pilihan ganda tentang narkoba. Kunci jawaban soal latihan uas / pas bahasa indonesia kelas 9 smp …
Demikianlah artikel tentang 50 contoh soal bahasa indonesia pilihan ganda tentang teks laporan hasil observasi dan jawabannya. Jika ada jawaban yang salah, mohon dikoreksi dengan cara berkomentar di bawah. Contoh soal pkn kelas 11 semester 2 dan jawaban dapatkan contoh. 14 tugas tambahan guru yang diakui dapodikdasmen untuk tunjangan sertifikasi. Pengertian, contoh expressions, conversations dan contoh soal. Contoh soal pilihan ganda tentang narkoba. Contoh soal pilihan ganda comparison degree berikut ini adalah kisi kisi soal pretest ppg 2018 yang merupakan kumpulan file dari berbagi sumber kisi kisippg tentang contoh soal pilihan ganda comparison degree yang bisa bapakibu gunakan dan diunduh secara gratis dengan menekan tombol download biru dibawah ini. Soal bab fotosintesis ini terdiri dari 2 bagian yaitu soal pilihan ganda dan soal essay. Contoh soal pilihan ganda tentang budaya politik beserta jawabannya by revisi posted on may 14, 2021. Sebelum kita berlatih contoh soal greeting card pilihan ganda dan jawabannya ini alangkah baiknnya kita memhamai dulu definition of greeting card, apa itu greeting card. Contoh soal pilihan ganda tentang promosi produk. Oleh dosen pendidikan 2 diposting pada 10/07/2021. Inilah pembahasan lengkap terkait contoh soal pilihan ganda konsinyasi dan jawabannya.
Berbagi
Posting Komentar
untuk "Contoh Soal Pilihan Ganda Tentang Konsinyasi - Soal Dan Jawaban Konsinyasi Mario193 : 14 tugas tambahan guru yang diakui dapodikdasmen untuk tunjangan sertifikasi."
Posting Komentar untuk "Contoh Soal Pilihan Ganda Tentang Konsinyasi - Soal Dan Jawaban Konsinyasi Mario193 : 14 tugas tambahan guru yang diakui dapodikdasmen untuk tunjangan sertifikasi."